近日,威尼斯官网贵州省农业生物安全全省重点实验室博士生王秋萍为第一作者,吴小毛教授和陈祥盛教授为共同通讯作者,在国际著名学术期刊《Journal of Hazardous Materials》(IF=12.2)在线发表了题为“Consortia of Bacillus sp. LY05 and Bacillus cereus LGY06 immobilized on coconut shell charcoal remediates pendimethalin and cadmium contaminated sites in-situ and alleviates peanut’s continuous cropping obstacles”的研究论文。团队将Bacillus sp. LY05和B. cereus LGY06固定在椰壳炭上,建立了椰壳炭固定化混合菌群,该固定化菌群能同时缓解花生二甲戊灵残留-镉复合污染与连作障碍。研究获得国家重点研发计划、国家自然科学基金、贵州省科技创新平台建设与科技创新人才团队等项目的资助。

食用油料安全是国家粮食安全的重要组成部分。花生是我国重要的油料作物,占世界总产量的40%,居首位。近年来,花生除草剂残留、重金属污染和连作障碍明显加重,制约了产业发展。因此,在生产中如何同时缓解花生除草剂残留-重金属复合污染与连作障碍亟显重要。
该研究采用固定化微生物技术,将从土壤中分离筛选的Bacillus sp. LY05和 B. cereus LGY06固定在椰壳炭颗粒上,建立了椰壳炭固定化混合菌群。该固定化菌群稳定性优异,能快速降解二甲戊灵,有效吸附Cd2+。

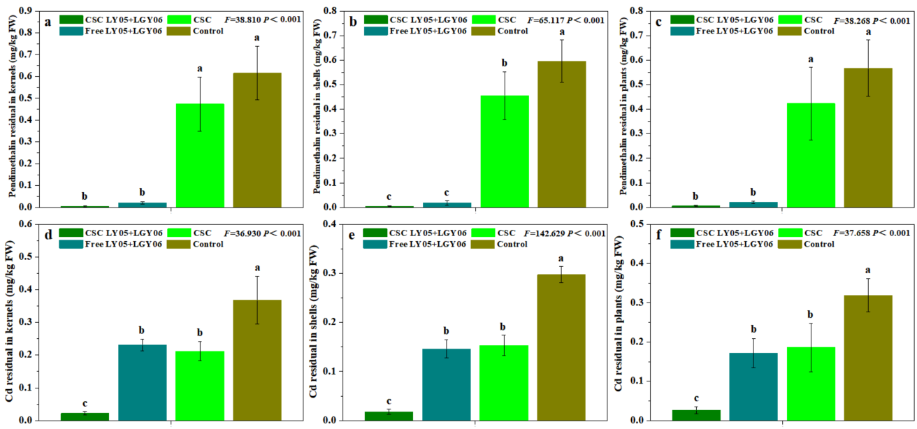
图为椰壳炭固定化混合菌群对花生籽仁、花生壳和花生植株中二甲戊灵和Cd2+残留量的影响
田间试验结果表明,椰壳炭固定化混合菌群显著降低了连作土壤中花生籽仁、花生壳和植株中二甲戊灵和Cd2+残留量。此外,该固定化菌群通过改善植株农艺性状、光合特性等生物表观特征与生理生化指标,显著提高了连作花生的产量和品质。这一研究成果为农药残留-重金属复合污染土壤的修复与作物连作障碍的克服提供了新思路。
图文:贵州省农业生物安全全省重点实验室
编审:赵路玥
二审:王 明
三审:冉龙彪